A research team from the Carbon Neutrality and Energy System Transformation (CNEST) International Big Science Program Pre-study Project at Tsinghua University, along with domestic and international collaborators, has recently published a comprehensive study investigating the integrated effects of coal power capacity control and renewable energy expansion on China’s net-zero emission strategy.
The study, titled “Reassessing Immediate Coal Phase-Out: Dual Imperatives of Capacity Control and Renewables Expansion in China’s Net-zero Strategy,” was published in Nexus, an interdisciplinary journal from Cell Press. By coupling the Global Change Analysis Model (GCAM) with a power system optimization model, the team quantified emission reduction potentials from a socio-economic perspective while identifying potential risks to power system adequacy at the operational level.
Strictly controlling coal power capacity and accelerating renewable energy deployment are two pillars of China’s path to carbon neutrality. While international consensus, such as the Sunnylands Statement between China and the U.S., emphasizes replacing fossil fuels with renewables, the transition faces systemic challenges. Previous research often advocated for an immediate halt to new coal projects but frequently overlooked the critical role existing plants play in ensuring energy security.
To bridge this gap, the research team developed a coupled analytical framework. By calibrating the technology-rich GCAM model for China and integrating it with an hourly-level power system optimization model, the study captures the intricate interactions between coal and renewables, offering a more refined and systematic reference for a smooth energy transition.

Figure 1. Emission pathways and carbon price fluctuations under different scenarios.
The research demonstrates that under a Business-as-Usual Net-Zero scenario (BAU_CN), China’s transition could achieve approximately 148 Gt of CO2 reductions (2020–2060), covering about 37% of the global carbon budget required for a 1.5℃ target.
As shown in Figure 1, implementing stricter coal capacity controls (SPs_CN) yields significant short-term benefits, saving an additional 27 Gt of CO2. Conversely, reducing renewable energy costs (REs_CN) facilitates long-term substitution of fossil fuels, resulting in an extra 38 Gt of reductions. When both measures are combined (RESP_CN), the cumulative reduction benefit rises to 196 Gt, covering nearly half (49%) of the future global carbon budget.
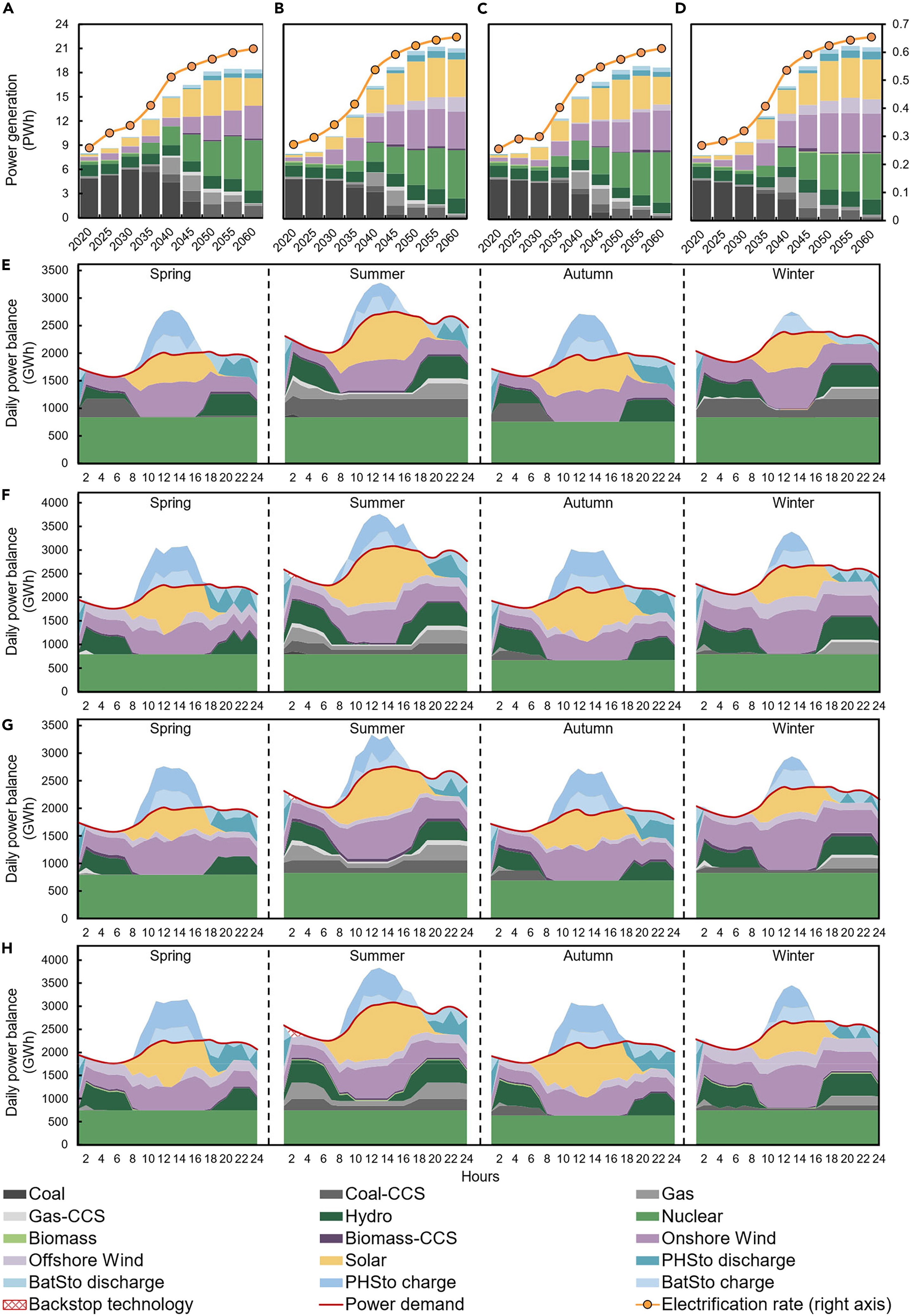
The study identifies critical trade-offs in an “immediate restriction” strategy. Restricting coal investment (SPs_CN) significantly accelerates the decline of coal’s share in the power mix but leads to a reduction in total power output by 5.7% in 2025 and 11.1% in 2030 (as shown in Figure 2).
Surprisingly, this slowdown in power generation hinders the electrification of end-use sectors. Compared to the electrification levels in BAU_CN (33.4%) and REs_CN (33.9%), the SPs_CN scenario only reaches a 29.6% electrification rate by 2030. This lag actually encourages increased direct coal burning in end-use sectors, highlighting the need to balance the pace of electrification with a guaranteed supply of low-carbon electricity.

Figure 2. Power mix, electrification rates, and hourly power supply-demand balance under various net-zero scenarios.
By modeling hourly operations, the researchers revealed that isolated coal control strategies could lead to system instability in the later stages of the net-zero path (post-2050). Without new coal or low-cost renewables, the system would rely heavily on expensive backup technologies, such as seasonal energy storage, to meet peak loads during summer.
In the SPs_CN scenario, up to 270 GW of load (approx. 12% of the total load) might require backup technologies by 2050. However, the RESP_CN scenario demonstrates that accelerated renewable deployment, paired with energy storage, can effectively mitigate these risks. This underscores the importance of complementing coal capacity control with the clean retrofitting of existing plants or the implementation of low-carbon alternatives to maintain energy security.
Wang Jiaxing, a PhD student (Class of 2021) at the School of Environment, Tsinghua University, is the first author of the paper. Professor Lu Xi (Tsinghua University), Professor Fan Jingli (China University of Mining and Technology, Beijing), and Research Fellow Zhang Xian (The Administrative Centre for China’s Agenda 21) serve as the co-corresponding authors.
The research was supported by the CNEST International Big Science Program Pre-study Project, the National Natural Science Foundation of China, the National Key R&D Program, and the Ordos-Tsinghua Carbon Neutrality Innovation Collaborative Research Project.
Paper Link: https://doi.org/10.1016/j.ynexs.2025.100081